Welcome to my channel!
I started this channel in 2018 to post videos about all things related Chemical Engineering for Undergrads and Postgrads.
Generally, the content is based on fundamental concepts and coding exercises related to Chemical Engg.
You can recommend me topics that you would like to see videos on. There is also an option for daily quiz and poll on the community page of this channel to revise.
I am hoping to grow this channel for the benefit of all learners.
Please like, comment, subscribe, and share with your fellow learners, to show support for the content I create
Thank you 😊
Shared 1 year ago
618 views
Shared 1 year ago
740 views
Shared 1 year ago
555 views
Shared 1 year ago
379 views
Shared 1 year ago
443 views
Shared 1 year ago
221 views
Shared 1 year ago
20 views
Shared 1 year ago
1.1K views
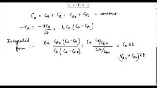
LEC7 CRE: Irreversible Unimolecular 1st order Reaction, Integral analysis of reactor data| Explained
Shared 1 year ago
397 views
Shared 1 year ago
36 views
Shared 1 year ago
43 views
Shared 2 years ago
445 views
Shared 2 years ago
308 views
Shared 2 years ago
159 views
Shared 2 years ago
1.1K views
Shared 2 years ago
1.4K views
Shared 2 years ago
35 views
Shared 2 years ago
538 views